发布日期:2026-04-11 10:16 点击次数:189


作家先容:本文的共同第一作家为崔奔雷(阿里巴巴)和何少轩(阿里巴巴实习生、浙江大学)主要商议边界为多模态领路与生成,通信作家洪海文(阿里巴巴)和赵洲(浙江大学)主要商议边界折柳为多模态大说话模子、语音领路生成等场所。
连年来,扩散模子已成为图像、音频、视频等多模态生成的中枢时间道路,并在工业界得到平凡应用。但在推行落地中仍存在症结瓶颈:工业级推理预算连接惟有 20–30 步,在这一拘谨下,很多加快措施仍会出现纹理混乱、神采漂移、轨迹偏离等问题,影响生成质地与领略性。
这一问题也限度了生成时间在领路侧磨砺中的大边界应用,而这关于补充安全场景中的高危稀缺样本、构造坐褥环境下的反抗变异样本至关迫切。高危图片和视频频频传播快、危害大,但样本数目有限,因此需要借助生成时间大边界合成掂量数据,以擢升审核模子的识别能力。
同期,AI 时期用户生成变异样本的本钱大幅缩小,使内容安全濒临更强的反抗压力。因此,需要在管控侧引入生成时间,构造反抗磨砺样本,擢升审核模子的鲁棒性。掂量词,关于这类大边界工业应用而言,扩散模子过高的推理时延仍然不行接受。如安在有限步数预算下兼顾生成质地与推理着力,已成为工业级扩洒落地的中枢挑战。
针对这一挑战,阿里安全 AGI 实验室 - 御风大模子团队鸠合浙江大学提议了一种全新的扩散加快措施 ——TC-Padé(Trajectory-Consistent Padé Approximation)。该措施基于 Padé 迫临构建残差瞻望框架,在无需磨砺、即插即用的前提下,达成对扩散采样经由的高效加快,并在低步数竖立下依然保握领略、高质地的生见着力。实验标明,TC-Padé 在图像生成、视频生成和类别要求图像生成等任务上齐取得了出色阐扬。举例,在 FLUX.1-dev 上可达成 2.88× 加快,在 Wan2.1 视频生成模子上可达成 1.72× 加快,同期显耀优于已有缓存类加快措施。基于以上加快措施,御风大模子团队得以产出多量高质地冷门风险磨砺样本,大幅度擢升模子对风险的视觉领路能力,赋能百项以上平凡业务场景。
该商论说文已被 CVPR 2026 托付。

论文标题:TC-Padé: Trajectory-Consistent Padé Approximation for Diffusion Acceleration
Github 地址:https://github.com/Alibaba-YuFeng/TC_Pade
一、商议布景
扩散模子的生成质地诚然仍是达到很高水平,但其推理着力永恒是落地应用中的中枢制约身分。由于扩散采样依赖多步迭代去噪,一个样本连接需要阅历数十次致使上百次汇注前向计较,这使得模子在及时交互、批量生成和资源受限场景中濒临较高的时延与本钱。
为缩小这一支出,连年来出现了多类扩散加快措施,其中一类迫切想路是特征缓存(feature caching)。这类措施驾御相邻时候步之间特征变化较小的性质,减少重迭计较,从而达成 “免磨砺、可插拔” 的推理加快。现存措施主要包括两种道路:
(1)基于复用的措施:告成缓存并复用中间特征;
(2)基于瞻望的措施:把柄历史特征变化趋势瞻望改日特征。
尽管这些措施在较高采样步数(如 50 步)下或者取得一定加快着力,但在工业场景更常见的 20~30 步低步数采样中,其局限性会昭着暴线路来。跟着时候步闭幕变大,特征之间的相似性快速下落:
(1)复用类措施容易因缓存特征与刻下情状不匹配而产生偏差;
(2)多项式外推类措施则容易因过错积贮导致轨迹漂移。
如下图所示,在低步数竖立下,已有加快措施频频会带来昭着的画质下落,而 TC-Padé 或者在达成更高加快比的同期,保握更好的视觉一致性。

图 1 相较于已有缓存加快措施,TC-Padé 在 20 步采样下依然或者保握更领略的纹理与色调阐扬
为何现存措施在低步数下容易失效?低步数采样意味着:相邻推理步之间的时候跨度更大,特征演化不再平滑。这会带来两个告成问题。第一,传统缓存复用措施默许相邻时候步特征 “鼓胀相似”,但在低步数场景下,这一假定很容易被冲破,导致缓存信息与刻下情状错位,从而影响生成质地。第二,基于泰勒张开的外推措施诚然或者在局部作念肖似,但泰勒多项式内容上更妥贴小范围、平滑变化的趋势建模。
其时候闭幕增大、特征变化更复杂时,就容易出现外推过错放大、采样轨迹偏移的问题。论文通过 PCA 可视化进一步标明,已有措施在加快采样经由中频频无法保握与原始采样轨迹的一致性,而 TC-Padé 更接近原始轨迹,体现出更强的领略性。

图 2 不同缓存措施在 20 步采样竖立下的轨迹一致性对比,TC-Padé 更接近原始轨迹,体现出更强的领略性
二、商议措施:TC-Padé 中枢革命
针对上述问题,本文提议了 TC-Padé,从 “瞻望对象”“瞻望方式” 和 “采样阶段战略” 三个层面从头联想扩散缓存加快框架,中枢包括以下两点:
1、革命一:基于) Padé 迫临的轨迹一致性残差瞻望
与告成瞻望原始特征不同,开云appTC-Padé 率先将建模对象转向残差默示(residual representation)。残差描摹的是层间特征增量,相较于原始特征连接具有更高的时候连结性和更领略的变化规定,因此更恰行动念跨时候步瞻望。
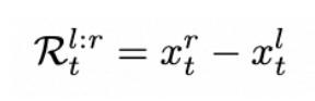
残差界说如下:

其中,x_{t} l 和 x_{t} r 折柳默示时候步 t 下不同层的特征默示,R_{t} l:r 默示对应层间残差。
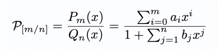
在此基础上,TC-Padé 使用 Padé 迫临替代传统的泰勒多项式张开。Padé 迫临采取 “分子多项式 / 分母多项式” 的有理函数方式,或者更好地形色非线性变化、渐近行径和阶段切换,因此在低步数、大跨度时候闭幕下具有更好的领略性。其一般方式为:

在本文中,为平衡着力与支出,采取了低阶 Padé 型瞻望器,对刻下残差进行瞻望:

进一步可复原刻下时刻输出特征:

这一联想幸免了告成在高维原始特征空间进行瞻望,使模子或者更聚焦于结构更领略的残差动态,从而有用缩小低步数采样中的过错累积问题。
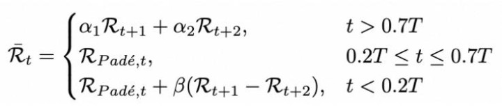
2、革命二:面向去噪阶段相反的步感知瞻望战略
扩散模子在不同采样阶段的动态秉性并不相通:早期阶段,噪声高,结构变化剧烈;中期阶段,举座结构逐渐领略,妥贴进行轨迹瞻望;后期阶段,主要进行细节配置与纹理优化。现存措施连接采取协调战略管制所有去噪经由,难以适合不同阶段的变化秉性。为此,TC-Padé 提议了一种去噪步感知(step-aware)瞻望战略,针对不同阶段采取不同的残差更新方式:

其中,T 为总去噪步数。这一战略使 TC-Padé 或者在采样早期幸免过度外推,在中期充分阐发 Padé 迫临的上风,并在后期捕捉更细粒度的变化趋势,从而擢升举座加快经由的领略性与生成质地。
3、革命三:自适合轨迹领略性判别机制
除了瞻望方式的联想外,TC-Padé 还引入了一个轨迹领略性议论(Trajectory Stableness Indicator, TSI),用于判断刻下时候段是否妥贴跳过计较、告成使用瞻望收尾。其界说为:

当轨迹变化自若时,模子可安全地跳过部分计较并采取瞻望;当轨迹不领略时,则复原无缺计较,以保证生成质地。这么就达成了在领略区间尽可能加快,在症结变化区间保留淡雅计较的自适合推理机制。

图 3 在每个缓存区间内,系统通过轨迹领略性议论动态判断是奉行无缺计较如故进行残差瞻望
三、实验亮点:低步数下依然保握高质地与高速率
(一)图像生成任务:更快的同期保握更高保真度
在文本到图像生成任务中,TC-Padé 在 FLUX.1-dev 上展现出卓绝杰出的着力 — 质地平衡能力。实验收尾标明:
(1)TC-Padé(fast)达成 2.88× 加快
(2)在 FID、CLIP Score 等议论上保握与原始模子接近的性能
(3)在 PSNR、SSIM、LPIPS 等保真度议论上昭着优于其他缓存类措施
比拟之下,已有措施诚然在部分竖立下不错进一步压缩 FLOPs,但频频陪同显耀的画质下落,致使出现无法接受的图像退化。TC-Padé 则在较高加快比下依然或者保握高超的纹理、结构与语义一致性。

表 1 措施在达成高达 2.88× 加快的同期,依然保握高质地图像生见着力
(二)视频生成任务:在时序生成中一样有用
视频生成对一致性要求更高,任何瞻望偏差齐可能在时候维度被进一步放大。即便如斯,TC-Padé 仍在 Wan2.1-1.3B 视频生成模子上取得了优异收尾:
(1)1.72× 推理加快,1.74× FLOPs 缩小
(2)VBench-2.0 总分仅较原始 20 步基线小幅下落
(3)在 PSNR、SSIM、LPIPS 等议论上显耀优于泰勒瞻望类措施
这确认 TC-Padé 不仅适用于静态图像生成,也或者较好适配视频场景中的复杂时空动态。

表 2 在视频生成任务中的着力对比。相较于其他措施,TC-Padé 在保证视频内容领略性的同期达成了更高着力
(三)类别要求图像生成:兼顾样本保真度与各样性
在 DiT-XL/2 的 ImageNet 256×256 类别要求图像生成任务中,TC-Padé 一样阐扬领略:
(1)1.46× 时延加快,1.64× FLOPs 缩小
(2)FID 优于对比的缓存加快措施
(3)Precision 与 Recall 保握更好平衡
这标明 TC-Padé 不仅适用于文本要求生成任务,也能在圭臬视觉生成基准上保握较强竞争力。

表 3 TC-Padé 在 DiT-XL/2 上的定量收尾,展示了其在类别要求图像生成任务中的领略泛化能力
(四)消融实验:症结联想带来领略收益
论文进一步通过消融实验考证了 TC-Padé 各构成模块的有用性。
1、残差缓存粒度分析:实验比较了不同缓存粒度,包括 double-stream、single-stream 和 entire block。收尾骄傲,在所有 block 粒度上进行残差缓存与瞻望时着力最好,或者在速率和质地之间取得更优平衡。
2、领略性阈值分析:通过调遣轨迹领略性阈值 θ,不错纯真阻挡加快比与质地之间的量度。实验骄傲,θ=0.7 时可获取最高 2.88× 加快,而 θ=1.0 则在质地和着力之间阐扬出更平衡的玄虚着力。
3、与量化时间兼容:TC-Padé 还具有高超的工程兼容性,可与量化等其他推理优化时间叠加使用。实验骄傲,在联接量化后,其举座时延下落可进一步扩大,体现出高超的推行部署后劲。
四、转头
TC-Padé 针对扩散模子低步数采样中 “加快容易、领略很难” 的中枢问题,提议了一套兼顾表面与实践的新有蓄意。通过基于 Padé 迫临的残差瞻望、步感知瞻望战略以及轨迹领略性自适合判别机制,该措施在无需磨砺的要求下显耀擢升了扩散推理着力,并在多个任务上保握了高质地生见着力。关于追求低蔓延、高微辞、可落地部署的扩散模子应用而言,TC-Padé 提供了一种具有现不二价值的高效加快想路开云app在线,也为改日扩散模子推理优化掀开了新的场所。
开云kaiyun(中国)体育官网上一篇:开云app在线 25-26赛季欧联八强:罗马出局!博洛尼亚将战维拉
下一篇:没有了